
От редакции "РН": Впервые представляем вашему вниманию разработанную проф. С.С.Сулакшиным оригинальную, экспериментально подтверждённую методику измерения общественной пассионарности (степени напряжённости общества или его "политической температуры"), позволяющую не только оценивать нынешнее состояние политического климата, но и делать прогнозы на будущее.
В данной публикации приводится 1-я глава труда "Политическая температура российского общества".
***
Что является самым напряженным и ответственным в политическом пространстве бытия общества и власти, общества и государства? В этом пространстве много состояний: настроения общества относительно того или иного лидера, по поводу уровня жизни, по вопросам цен и тарифов, в связи с различными текущими решениями. Например, такими как изменения в пенсионном обеспечении или в требованиях в правилах дорожного движения и т.п. Но что является самым "главным" во взаимоотношениях общества и власти? И почему именно этот вопрос акцентируется и сам по себе претендует на то, чтобы быть значимым?
Дело в том, что стабильность, устойчивость, защищенность и комфорт уверенности в дне сегодняшнем и дне завтрашнем для большинства людей объективно зависит от устойчивости и состояния политического режима. Если он эффективен в решении проблем людей, чувствителен к ним, гуманен, патриотичен, порядочен и профессионален — то чего еще желать? Общество удовлетворено, голосует за представителей режима и состояние страны гармонично и динамично. Все хорошо.
Однако, если проблемы людей хронически не решаются и мало интересуют режим, если он проворовался и служит своим клановым интересам, если он манкирует безопасностью и национальными интересами страны и скорее напоминает иностранную "смотрящую" команду в виде пятой колонны, если жизнь людей ухудшается, страна очевидно деградирует, а патриотические и идеологические традиционные чувства оскорбляются с маниакальной настойчивостью, то рано или поздно эта дисгармония превращается в политический конфликт. Конфликт перерождается в борьбу за власть, рождается оппозиция режиму, оппозиция может разрастаться, захватывать все более широкие круги общества, может становиться нелегальной и прибегающей к силовым методам борьбы, к которым начинает прибегать и власть. Политическая стабильность уступает место напряженности, политическим столкновениям и потрясениям, в пределе свершается революция, как правило несущая большие издержки в виде разрушений, ущерба, драм и трагедий для людей.
Нет ничего (может быть за исключением внешнего агрессивного военного вторжения или космогонической или иной природной глобальной катастрофы), что было бы опаснее и тревожнее, чем социальные потрясения и революции. Поэтому некое состояние общества, характерное и ответственное за такого рода события, необходимо знать, измерять и мониторировать.
Аналог, который помог нам предложить и развить теорию политической температуры, всем известен. Если множество молекул или атомов например в воздухе колеблются и движутся каждый сам по себе с какой-то скоростью, то каждый обладает кинетической энергией, равной масса х (скорость)2 . Внешний наблюдатель мало что может сказать, зная энергии отдельных молекул. Однако, в целом данный объем воздуха обладает совокупной энергией, как макрохарактеристикой, которая для чловека весьма значима и важна. Почему? Потому, что это может быть энергия нагревающая жилье, или энергия реактивной струи авиадвигателя, движущая самолет. Или энергия взрыва, который разрушает все вокруг. Эту макроэнергию характеризуют не перечислением скоростей отдельных молекул, а температурой всего объема воздуха. Если она 22 град, то человеку уютно и комфортно в его жилье. Он измеряет температуру и специально ее подгоняет (нагревом или охлаждением) для максимального комфорта. Если она 300 град, то начинается пожар, разрушающий жилье. Если она минус 20 град, то перемерзают батареи и жить в таком жилье становится невозможно.
Это конечно всего лишь аналогия, образ, облегчающий понимание дальнейшего. Общество состоит из множества людей, у каждого из которых своя ситуация, свои проблемы, свой темперамент и свои проявления в общественных коммуникациях, в том числе с властью. У каждого своя воля. Агностик скажет: именно потому, что людей миллионы, все это слишком сложно и необозримо — сказать в целом, в порядке диагностики и прогнозирования развития общественной ситуации, ничего невозможно. С этим нельзя согласиться. Есть т.н. закон больших чисел. При его выполнении оказывается, что казалось бы для неисчислимого множества индивидуальностей возникает кооперативное (согласованное интегральное) поведение. Возникает закономерность, позволяющая интерпретировать состояние общества в целом, как единого субъекта, как целостность. Закономерное поведение является основанием для прогнозирования развития состояния общества.
Достаточно очевидно, что общество имеет собственную энергетику. Назовем ее социальной энергией. В силу ее наличия общество может свершать трудовые подвиги и наоборот разрушать. Такие исторические события как правило происходят в резко нестационарных процессах. В масштабных созидательных реформах (СССР после революции 1917 года периода индустриализации), при масштабных разрушительных реформах (Россия после 1991 года и до сих пор), в революциях. Аналогия с физическим примером очевидна и в том, что замороженное общество ("народ безмолствует"), с безразличными, фрустрированными людьми неспособно ни на что. И, напротив, общество перегретое, возбужденное, сверхэмоциональное, способно как на подвиг, так и на дикое разрушение ("русский бунт — бессмысленный и беспощадный").
Становится понятно, что такая характеристика как социальная энергия существует объективно. И точно также как в физическом примере нужно вести речь о температуре общества,
в данном случае о политической температуре. Она характеризует социальную энергию общества как готовность и способность его к свершениям. Мы называем ее еще пассионарностью общества. Сама про себе политическая температура еще не говорит какого знака (положительного или негативного) этот энергетический заряд.
Для его определения нужны дополнительные политологические экспертные оценки. Их также можно получать. Но политическая температура есть важная хараткеристика, позволяющая понимать сотяние общества текущее и прогнозировать его на будущее. Вплоть до предсказания грядущих потрясений и революций.
Как измерить полтическую температуру? Для этого введено понятие политического спектра. Это распределение предпочтения людьми той или иной позиции в отношении человека к власти. Выглядит такой спектр предпочтений достаточно очевидно.

Если спектр имеет характерную форму первого типа, то очевидно, что власти можно быть спокойной. Ею все довольны и ее поддерживают.

Если спектр приобретает вид второго типа, то власти жить осталось недолго — ее переизберут, скинут, свергнут или ей нужно категорически измениться.

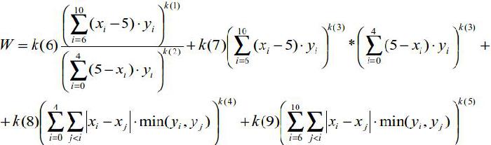
В случае сложного спектра определение температуры "на глаз" не получится. Для этого построена математическая формула ее вычисления. Как она получена? Это нетривиальный результат. Он аккумулирует в себе (таков был алгоритм вычисления) коллективный политологический экспертный опыт и проверен на значимых эмпириках. Проверено, что формула ответственна и работоспособна.

Здесь:
W — политическая температура,
x и y — это параметры распределения в политическим спектре (политическая позиция и количество людей с таким предпочтением, соответственно).
Степенные показатели являются подстроечными параметрами и являются специфичными для нашей страны. Отражают ее политические традиции, культуру, темперамент, в общем то, что называют национальным характером.
Насколько формула работоспособна можно видеть на рисунке.

Таким образом, измерение политической температуры является полезным для понимания состояния общества по части его отношения к власти и для прогнозирования его изменений в будущем. Нет сомнений, что для умных властных руководителей такой инструмент может быть весьма полезным.
Наша научная группа уже ряд лет измеряет политическую температуру, что позволяет видеть ее закономерности. Во-первых, она имеет сезонный характер. Минимальна температура летом, максимальна осенью. Температура поддается управлению. Например, в федеральных избирательных кампаниях 2011-2012 гг. она менялась в связи с информационным воздействием на общество.
Влияет на нее и уровень жизни, отдельные резкие "реформы" последних времен, меняющие его.
Очень важный результат заключается в том, что "заморозка" общества в России заканчивается. Дно, по всей видимости, достигнуто в конце лета 2013 года. Мы живем в последние месяцы относительной стабильности. Дальше пойдет разогрев общества как ответ на неуправляемость страны и беспомощность или глубокую ошибочность государственного управления, которая никак не претерпевает позитивных изменений.
Макропрогноз изменения российской политической температуры (метод экспертной оценки) выглядит тревожным.

При этом очень важно, что результаты экспериментального измерения политической температуры, которые уже выполнены как говорится "в прошедшем времени", для состоявшейся реализации хорошо совпадают с прогнозной кривой. Это метод верификации (определения достоверности) прогноза в так называемом ретропрогнозировании.
Принципиально здесь следующее. Если ретропрогнозирование подтверждает достоверность прогноза на проверенном временном периоде, то это означает, что можно с доверием относиться и к будущему прогнозу.
Степан Сулакшин




